優質的服務流程
· quality of service processes ·

需求溝通傾聽客戶需求,了解用戶使用環境和現場工況
方案設計根據現場實際工況,針對性出具解決方案
合同簽訂技術和商務規范確認,簽訂合作協議
產品制作選擇最優質的元器件,嚴格按照技術協議
調試安裝現場規范安裝,靜態動態調試,分析儀運行
售后服務后續維護,持續跟進,終身維修

全國熱線
銷售熱線
公司地址山東濟南市槐蔭區太平河南路1567號均和云谷濟南匯智港6號樓
為了研究燒結煙氣污染物排放的定量指標,分析了現有燒結機大氣污染物排放標準中存在的問題及標準發展趨勢,提出了兩種污染物排放的計算方法,一種為折氧濃度計算法,另一種為噸礦計算法,分別從污染物排放濃度、排放強度兩個方面給出了污染物排放的計算;同時,在噸礦計算法的基礎上,提出了一個區域在特殊時期需要對本區域鋼鐵企業限產時所需要精確計算的限產方案計算方法,運用這一方法可以精確計算出每一臺燒結機的減產比例,不會出現一刀切的現象。
這一方法的應用將有利于促進企業提高自身清潔生產水平,有利于清潔生產水平高的企業少限產,而清潔生產水平低的企業多限產。
燒結作為長流程鋼鐵企業主要的生產工序之一,在中國企業中,燒結負擔著高爐70%以上的含鐵原料的供應,是生產流程中不可或缺的重要一環。但是,燒結又是鋼鐵企業污染物排放量最大的工序,其顆粒物、SO2、NOx等排放量分別占到鋼鐵企業總排放量的約20%、70%和50%。
燒結煙氣(處理前的初始煙氣)的主要特點是(其中部分數據為作者實際檢測數據):煙氣量大,噸礦的工況煙氣量為3000~5000m3,標準狀態下干煙氣流量為2000~3500m3;煙氣溫度變化范圍大,一般為120~180℃;煙氣含濕量和含氧量高,含濕量為7%~13%,含氧量(氧體積分數)為15%~18%;粉塵含量高,質量濃度一般為1~15g/m3;SO2質量濃度大,一般為800~2500mg/m3;NOx質量濃度相對穩定,一般為200~400mg/m3;CO質量濃度高,一般為4000~8000mg/m3;氣體成分復雜,煙氣中含HCl、HF、汞、多環芳烴、二噁英、重金屬等。
針對燒結機排放的特點,中國在2012年重新修訂了《鋼鐵燒結、球團工業大氣污染物排放標準》(GB28662—2012),此標準中的特別排放限值均高于發達國家相關的排放標準,在這一標準的執行過程中,大部分企業對燒結煙氣都進行了煙氣除塵和脫硫的改造,而煙氣中NOx基本都能達到標準要求,因此,2014年前99%以上的燒結機都沒有單獨的脫硝設施,個別脫硫設施在脫硫過程中有少量的NOx脫除的效果。
隨著環保政策日趨嚴格,NOx逐漸引起了重視,同時對粉塵、SO2的排放要求也越來越嚴,從國家到地方已經提出了相應的新標準征求意見,這就促使企業不得不在燒結機的環保改造、增加脫硝設施等方面加大投入,以滿足環保的新要求。
由于燒結機最新的排放標準還沒有正式出臺,僅有一些征求意見提出了更加嚴格的標準,本文將在分析現有標準、標準發展趨勢及現有檢測中的注意事項和問題的基礎上,提出兩種合理計算燒結煙氣污染物排放的計算方法,并應用計算方法提出了指導相關地區采暖季對鋼鐵企業進行限產的方案計算方法,量化上幫助政府指導限產。
1燒結煙氣的排放標準及檢測
1.1排放標準及趨勢
現行的燒結煙氣的排放標準是《鋼鐵燒結、球團工業大氣污染物排放標準》(GB28662—2012),這一標準盡管剛發布了6年,即使是其中最嚴的特別排放限值也已經無法滿足區域空氣環境質量的要求,特別是環境問題突出的地區,出現了政府要求排放達標(滿足現有標準)的鋼鐵企業限產、停產的現象,嚴重影響企業正常的生產秩序。
因此,環保部在2017年發布了“關于征求《鋼鐵燒結、球團工業大氣污染物排放標準》等20項國家污染物排放標準修改單(征求意見稿)意見的函”,提出了對現有標準的修改意見。
2018年5月7日,生態環境部發布“關于征求《鋼鐵企業超低排放改造工作方案(征求意見稿)》意見的函”,其中提出了燒結煙氣超低排放的限值以及鋼鐵企業實施超低排放的步驟。
而擁有全國最大鋼鐵產能的河北省在2018年也發布了“關于征求《鋼鐵工業大氣污染物超低排放標準》等5項地方環保標準意見的函”,其中對河北省的燒結煙氣限值也提出了具體的要求。
各個標準及征求意見的相關排放限值見表1。
表1燒結污染物排放的相關標準及征求意見

從表1的數據可以看出,燒結煙氣污染物的排放標準有越來越嚴格的趨勢,重點體現在顆粒物、SO2和NOx三個項目上,但是現有標準和各個征求意見還存在一些不足,主要體現在:
(1)基準氧的問題。
現有標準(GB28662—2012)最大的問題是沒有規定基準氧,沒有基準氧的污染物濃度是沒有可比較性的,也不能反映燒結機實際的排放情況,尤其是燒結機漏風會造成污染物濃度稀釋,這一點在國家兩個征求意見中都有體現,這也預示著下一個燒結煙氣污染物排放的正式標準將會考慮煙氣中基準氧的限定。
(2)部分限定的污染物無檢測或檢測很少。
其中規定的氟化物、二噁英等基本沒有檢測,尤其是99%以上燒結機從來沒有檢測過二噁英,主要是因為檢測成本太高、周期太長、影響因素較多,因此,在這些實際條件下,現有的這兩個標準限值基本被忽略,對企業沒有約束。
(3)部分污染物沒有排放規定。
比如:燒結煙氣中含有大量的CO,煙氣中CO質量濃度平均在5000mg/m3以上,排放量遠大于其他氣體污染物的總和,而現有標準及征求意見都沒有提到這一檢測項;燒結煙氣中含有一定的揮發性有機物(VOCs)、汞等污染物,但標準中也沒有涉及;標準及征求意見中都提到了顆粒物的排放限值,但對顆粒物中危害最大的細顆粒物(PM2.5)沒有規定。
(4)沒有排放強度和排放總量的標準。
現有標準和征求意見僅限制了排放濃度,但是對燒結機的排放總量、噸產品排放強度沒有規定,而這方面的規定和標準對管理部門應對區域污染物排放總量的控制具有很大的指導作用。由于燒結煙氣的成分組成與燒結生產過程,特別是原料、設備、操作等都密切相關,標準的制定需要考慮實際技術水平、污染物檢測可行性和全面性等問題。
1.2污染物檢測
根據環保的要求,國內燒結機的煙氣排放口基本都安裝了在線的煙氣監測系統,并且實時檢測數據可以聯網查詢,這也極大地約束了企業的生產行為。在污染物檢測過程中還需要明確以下兩個方面的內容。
(1)污染物的檢測條件。
在檢測、使用數據的過程中,首先需要明確煙氣檢測的條件,根據現有的煙氣污染物排放標準中提到的污染物檢測標準,儀器檢測得到的污染物濃度都是基于標準狀態下干煙氣(指溫度為273.15K、壓力為101325Pa條件下不含水的煙氣)中的污染物濃度,而不是工況下的污染物濃度,即煙氣在檢測前首先要進行預處理(包括除塵、除濕、冷卻等),再經過傳感器測定污染物濃度。
因此,在計算某一企業或者某一工序過程污染物排放總量時,一定要選擇標準狀態下干煙氣流量計算,而不是企業通常用到的工況流量。
(2)現有在線檢測存在的問題。
1)檢測存在空白區。一般企業都具有SO2、NOx及顆粒物的在線檢測,個別企業安裝了CO濃度的檢測設備,其他污染物在線(或離線)檢測幾乎沒有,即使標準中有限制,但沒有檢測也沒有約束力,所以沒有檢測的污染物成為檢測空白區。
2)儀器校準不規范。無論使用哪種檢測方法,國家標準中對儀器的校準頻率都有相應的規定,如采用非分散紅外吸收法檢測煙氣中SO2的儀器,要求至少3個月進行一次校準。但在實際使用過程中,儀器管理方很少有能按照規范校準的,這就造成了儀器檢測值的偏差存在,不利于環保部門的監管。
3)儀器使用不規范。檢測儀器的使用過程中都存在相應的檢測范圍、適應氣體環境,比如SO2的檢測過程中,一般常用的定電位電解法的便攜式儀器進行污染源的定期(隨機)抽檢,在燒結煙氣檢測中,由于煙氣中CO含量高,其含量對SO2檢測具有一定的干擾性,使用前必須對儀器進行相關CO的干擾試驗,只有在檢測濃度范圍內的合格儀器才能使用,而現用的大部分定電位電解法的便攜式儀器都沒有這方面的干擾試驗,檢測結果可能出現偏差,因此,國家也出臺了相應的標準來規范定電位電解法儀器進行CO干擾試驗的要求。
2計算方法
2.1折氧濃度計算法
燒結、球團煙氣排放的正式標準(GB28662—2012)沒有提到關于檢測過程中基準含氧量的問題,所以在兩個征求意見中提到以后對污染物濃度進行16%的折氧計算。
根據《火電廠大氣污染物排放標準》(GB13223—2011)中對污染物排放標準,不僅看其煙氣的檢測濃度,而且需要對濃度進行折氧計算,這樣更有利于對排放污染物的檢測、比較。如果燒結煙氣中的污染物排放標準能夠采用這一標準,則是對現有標準的巨大改進,具體折氧濃度計算法表達式見式(1)。

2.2噸礦計算法
煙氣中污染物濃度的檢測只能說明其煙氣的排放濃度是否超標,但對于總的污染物的排放如何控制將是每個企業、每個地區甚至整個國家需要考慮的問題,就如同降低噸鋼二氧化碳排放,降低單位產品的污染物排放量將是整個行業發展的根本方向。
目前,在噸產品污染物計算方面,主要關于污染物的排放系數或因子的計算,中國也已經編制了相關產業污染物排放系數,歐美等發達國家也有相關污染物因子的提法,這些方法都是將污染物排放歸一到噸產品的排放量上,但以上系數或因子的計算方法更復雜,實施性不強。
對于燒結工序,噸礦(指成品礦,以下相同)的污染物排放降低,體現了噸礦污染物排放強度降低,綠色化程度更高,生產水平更高,企業競爭力更強。對于一個企業,評價其燒結過程清潔生產水平可用噸礦污染物排放量計算,見式(2)。



從E值中可以看到每臺燒結不同污染物的噸礦排放量,直接可以看出不同燒結機、不同污染物的噸礦排放量,不同燒結機針對同一污染物的排放對比,也可以看出不同燒結機各個污染物的排放水平,對于進行燒結機污染物排放的對比及燒結機清潔生產水平的評價很有意義。
如果要用一個數據來評價一臺燒結機污染物的排放強度,則需要對每個污染物的噸礦排放量乘以一個排放強度系數,具體表達式見式(7)。


燒結機噸礦排放強度的提出,對于監管部門來評價一個企業的環保水平至關重要,監管部門不僅通過排放的檢測數據來規范企業的排放,即通過式(1)在線監控企業的污染物排放濃度;同時也能通過式(2)和式(7)從噸礦排放量、排放強度上監測企業的排放水平和排放量。
針對不同的時間段對不同企業實施限產政策,可以使用以上計算方法幫助政府制定“一企一策”可量化的政策,政府和環保部門也可以在企業污染物排放濃度達標的基礎上,給企業年度排放額度,利用以上計算方法從污染物排放總量限制企業的排放。
3計算方法應用分析
3.1折氧濃度計算法應用
本示例按照2018年河北省《鋼鐵工業大氣污染物超低排放標準》(征求意見稿)中排放濃度標準,以A、B、C三臺燒結機為例,其各自的煙氣排放數據及折氧后數據分別見表2和表3。
表2燒結機排放煙氣的檢測數據

表3燒結機排放煙氣折氧計算后數據

從表2的數據看,如果檢測數據沒有折氧計算,按照標準A、B兩臺燒結機的排放濃度均達到排放標準,而C燒結機SO2和NOx都超出了標準,屬于不達標;但是,如果考慮16%折氧條件,則根據式(1)計算后的排放濃度見表3,可以看出,折氧后A燒結機的SO2、NOx和顆粒物3個濃度均超標,屬于完全不達標排放的燒結機,B燒結機NOx未達標,而C燒結機污染物排放濃度則是全達標。
如此看來,煙氣排放污染物濃度的折氧與不折氧可能會出現不同的結論。
以上案例說明,單獨從直接排放的污染物濃度進行比較,各個燒結機沒有比較的基準,且可以通過人為手段達到要求的排放標準;但是,如果有折氧標準,則每個燒結機的污染物排放就有可比較性,這一比較有利于促進企業提高技術和管理水平,包括降低燒結機漏風率、降低燃料消耗、提高污染物減排效率等。
因此,燒結煙氣污染物排放濃度采用折氧計算的方法更科學、更具有對比性。
3.2噸礦計算法應用
3.2.1限產方案計算方法
噸礦計算法可以最直接地看清楚每一臺燒結機的排放強度,同時,利用噸礦計算法也可以指導政府部門制定合理的減排生產方案。假設在采暖季,要求本區域的鋼鐵企業燒結機污染物減排達到C%,最簡單的一刀切做法是讓每個企業的每臺燒結機產量都降低C%,但是這種方法既不科學也會扼殺企業實施超低排放的動力。
合理的做法應該是讓F值低的企業少減產或不減產,而讓F值高的企業多減產或停產。以下給出了一種基于噸礦計算法的企業限產方案計算方法。




3.2.2舉例應用
選擇兩個企業的6臺燒結機為對象,選取燒結機排放的污染物為SO2、NOx和顆粒物。前提是所有燒結機的污染物排放濃度都達到標準要求,按照征求意見中排放標準,燒結機的生產及排放基礎數據見表4。
表4燒結機生產及排放基礎數據

從表4中的數據可以得出以下數據



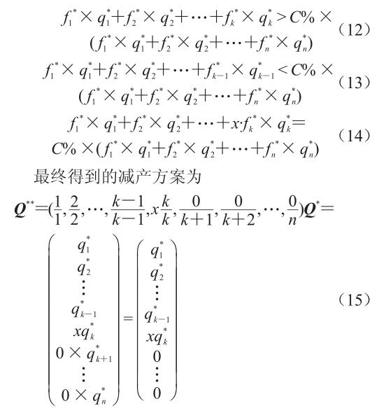
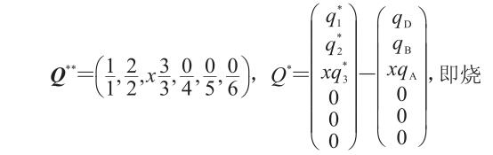
假設在采暖季要求本區域的鋼鐵企業燒結機污染物減排達到50%,最簡單的做法是讓每個企業的每臺燒結機產量都降低50%,如果采用限產方案計算方法,則結果如下。將以上數據分別代入式(12)和式(13),可以求得k=3;然后再將k值代入式(14)中,可以求得x=91.97%。
最后得到的減產方案為

結機D、B正常生產,燒結機A按照91.97%的負荷生產。再將所得數據代入式(16)得到減產方案實施后燒結機的實際減產比例η=45.27%。如果從兩個企業的角度來看,企業1減產比例為30.49%,而企業2減產比例為59.02%,比起每家企業減產50%看,企業1比企業2在清潔生產水平方面整體更有優勢。
4結論
(1)燒結煙氣污染物排放標準越來越嚴格,按照基準氧計算污染物濃度將會是標準修訂的趨勢,但排放標準應該考慮CO、VOCs等污染物的排放,同時兼顧相關污染物檢測的可操作性;污染物檢測中需要明確檢測的方法、條件,避免檢測儀器管理和使用中的問題而造成檢測數據的偏差。
(2)對燒結煙氣污染物排放有兩種計算方法,一種是折氧濃度計算法,主要對污染物濃度有一個可比較、可評判的標準;另一種是噸礦計算法,則是從污染物的排放強度計算,從噸礦污染物排放量可以看出燒結機整個的清潔生產水平。
(3)首次提出了基于噸礦計算法的燒結機限產方案計算方法,運用該方法可以精確計算出每個企業每臺燒結機的限產量。在方法應用的案例中,實際燒結機減產比例45.5%就可以實現燒結機污染物減排50%的需求,其中清潔生產水平高的企業1減產比例遠小于水平低的企業2。


需求溝通傾聽客戶需求,了解用戶使用環境和現場工況
方案設計根據現場實際工況,針對性出具解決方案
合同簽訂技術和商務規范確認,簽訂合作協議
產品制作選擇最優質的元器件,嚴格按照技術協議
調試安裝現場規范安裝,靜態動態調試,分析儀運行
售后服務后續維護,持續跟進,終身維修
Copyright ? 2015-2023 山東新澤儀器有限公司 版權所有
全國熱線:400-050-3910
E-mail:[email protected]
地址:濟南市槐蔭區太平河南路1567號均和云谷匯智港6號樓
魯ICP備16002986號-5?
XML地圖